今天,EBC金融给大家分享一位华尔街交易员Christopher J关于投资和决策的心得感悟。Christopher J曾就职于华尔街顶尖交易公司Jane Street和Optiver,目前从事人工智能健康领域。
大学一毕业,我就在华尔街的一家电子对冲基金开始了我的交易生涯。在经历了几次面试后,我有幸拿到了 Jane Street、Optiver 和 IMC 等顶级公司的offer。

我在那里的主要角色是做市商。为了更好地理解做市商,我给大家打个比方。假设你想购买诸如苹果之类的商品。你需要找到一个苹果卖家并商定一个公平的价格。做市商就是中间人,他们总是愿意以给定的价格买入或卖出,以此让买卖过程更高效。
在金融术语中,这意为为金融交易提供流动性。在任何特定时刻,你都可以将头寸平仓以换取现金。从规模上看,这些公司每年处理的金额达数十万亿美元。
在这些华尔街交易机构工作,让我的思考产生了颠覆性的改变。它不仅教会了我很多技术知识,而且还把我塑造成一个自我驱动、独立思考和努力上进的人。任何喜欢解决问题的人都可以来尝试交易。你不需要数学或金融背景就可以参与。
交易文化类似于职业体育。这是一个零和游戏,有明确的赢家和输家——你要么赚钱,要么赔钱。
这意味着你的薪酬和工作保障都高度依赖于你的表现。一个交易员根据业绩粗略分配的薪酬大约是NBA 年薪的十分之一。
算法交易设计到复杂的定量模型,总是会给人一种神秘感。但其实算法逻辑并不难,它是植根于所有交易策略的一些基本原则,每个人都适用。我分享四个华尔街交易员使用的量化策略。
正期望值投注

交易者赚钱的类似于赌.场累积对他们有利的赔率的方式。
想象一下,你抛了一枚硬币。如果它落在正面,你会赢得 3 美元,如果它落在反面,那么你会输掉 1 美元。如果你只抛一次硬币,你可能会运气差失去所有钱。然而,从长远来看,如果你把预期设定为每次抛硬币都可以获得 1 美元的正收益。那么这就被称为正期望值投注。在数百万笔交易的时间跨度中,你几乎可以保证获利。
这个确切的原则就告诉你为什么你永远不应该在在赌.场中玩轮盘赌的游戏。因为这些游戏都是负期望值投注,从长远来看,这会确保你一定会赔钱。当然也有例外,例如扑克或21点。(21 点是赌.场里最可能赢钱的游戏,也是那里唯一相对公平的游戏,在采取最佳玩法的情况下,玩家胜率高达 49%。)
你知道为什么庄家总能赢吗? 这个说法源于一个术语: 庄家优势(house edge)。庄家优势,是指赌.场从赌.客每次下注中可得的预期回报百分比。简而言之,庄家优势就是“真实机率”(true odds)和“赔率”(payout odds)之间的差距。
真实机率的定义是某事件发生的可能性。例如,轮盘游戏的真实机率是38分之1。
赔率是指若某事件发生(如有人赢钱)时,赌.场将赔付的比率。例如,轮盘游戏的赔率会是35分之1。
赌.场就是靠真实机率与赔率之间的差距来赚钱的。因此,即使有玩家中了大奖,从长远来看,赌.场还是赢钱的一方。

现在再回到我们所说的正期望投注,华尔街交易员往往会在交易下注前评估并衡量自己的期望值。这时候我们要说到一个很有名的公式,也被叫做「凯利准则」,由贝尔实验室科学家约翰·凯利于 1956 年开发,该公式计算一个人的净资产与赌注的比例,以最大化财富增长的预期数(即几何增长率)。
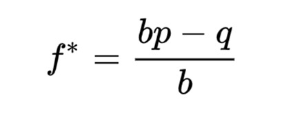
凯利准则

等式的左侧 f* 是我们应该置于风险之下的总财富的百分比。在右侧,p 是赢的概率,q = 1-p 是输的概率,b 是赔率(即我们将赢得的金额与我们将失去的金额之比) )。
对于许多交易者来说,相对于头寸规模和风险管理的问题,寻找市场机会就显得容易多了。
但是,你要记住的是,正确交易是 90% 的资金和投资组合管理。
换句话说:一个拥有平庸策略和一个强大风险模型的交易者才能取得成功。拥有出色策略和平庸风险模型的交易者必将会失败。
根据凯利公式我们可以推出了一个最佳的投入仓位比,来最大化长期的累积收益:
bet = edge / odds = 预期收益/收益回报
这里的 edge 在可以理解为获胜的概率*赔率 – 失败的概率,当 edge 的数字为正的时候,这就是值得下注的交易,而 edge 为 0 或者负数的情况说明不具备 edge, 不应该下注。
相对价格策略
当两个品种具有明确的因果关系时,相对价格是一个很好的策略。让我们设想有一个苹果和一盒苹果汁。假设有一个因果关系,即纸盒总是比苹果贵 9 美元。苹果和纸盒目前的交易价格分别为 1 美元和 10 美元。
如果苹果的价格上涨到 2 美元,价格不会立即反映在纸盒上。总会有一个时间差。我们无法确定苹果是按公允价值交易还是过高的定价。那么我们如何利用这种情况呢?
如果我们以 10 美元的价格购买纸盒并以 2 美元的价格出售苹果,我们实际上以 8 美元的价格购买了“价差”。由于因果关系,差价被合理地估价为 9 美元,这意味着我们赚了 1 美元。高频交易公司如此关注纳秒级延迟的原因,其实就是要率先发现这些相对错误的定价。
迈克尔·刘易斯 (Michael Lewis)所著的《闪电男孩》就讲述了高频交易公司如何使用连接纽约和芝加哥金融市场的超高速光纤电缆进行套利交易的故事。这条价值 3 亿美元的电缆将数据传输时间从 17 毫秒缩短到 13 毫秒。这个优势,使高频公司能够在其交易中获得比竞争对手更好的价格。
互相交易的常见投资品种包括ETF和反向ETF,某只股票和包含该股票的ETF,或合成期权结构等。
相关性
相关性是两个事物之间的相互联系。当它们朝着同一方向发展时,它们被称为正相关,反之亦然,负相关。

很多时候,某些相关性没有直观的原因,但它们仍然有效。传奇的文艺复兴科技公司筛选了数百万亿字节的历史数据,以寻找有利可图的信号。
例如,一个城市早上的好天气往往预示着其证券市场的上涨。理论上可以在开盘时买入股票并在中午卖出以获利。
一个重要的建议是不要理会任何向你售卖交易系统的零售交易商。这些都是骗局。充其量,这些是底部信号,在交易成本除去后几乎没有盈利。
均值回归

华尔街交易员的另一个常见策略就是均值回归。均值回归理论是许多交易策略的基础,这些策略涉及买卖那些偏离历史平均水平的资产类别价格。
在期权领域,主要关注点是在波动率低于历史价值时购买波动率,反之亦然。
购买期权本质上是购买波动性的同义词。当然,实际操作起来并没有这么简单。
对于大多数人来说,最适用的均值回归趋势就是利率。这些往往会上下波动,具体取决于央行采用刺激还是紧缩政策。
货币对价格永远不会直线上升或下降,即使在最强劲的趋势中,价格的上涨或下跌都是交替运行的,例如:在一个强劲的上升趋势中,价格急剧拉高后,一般会回撤然后再继续上升趋势。
均值回归不仅适用于资产价格。它也可以应用于波动率、收益、收益增长率和技术指标水平。
均值回归是一个需要理解的有用的市场概念,但它并不能保证交易每次都能有利可图。虽然价格确实会随着时间的推移而恢复到均值,但我们无法预先确定何时会发生这种情况。价格可能会在比预期更长的时间内继续偏离均值。
此外,趋势方向可能会发生变化,或者价格变动的幅度也可能会发生变化。仅仅因为价格上涨并不意味着它会跌至均值;均值也可能上升以满足价格。
由于这些未知因素,华尔街专业交易员都有严格的风险管理措施。设定退出策略,如果价格没有朝着他们预期的方向移动,他们的头寸将在该点平仓,从而帮助尽可能减少损失。